省到就是赚到,这个道理不仅适用于日常生活消费,也适用于投资理财。通过选择低成本的投资工具,我们可以把更多收益留在自己的口袋里,让复利效应更好地为我们服务。
投资界的传奇人物们都深谙成本控制之道。指数基金之父约翰・伯格曾强调,低费率投资的省钱效应会随时间催生可观的复利收益。而股神巴菲特更在遗嘱中明确表示,会将信托基金90%的资金投向成本极低的指数基金。
对普通投资者而言,践行这一理念的关键就是选择低成本的指数投资工具。就像我们日常生活中会选择性价比高的商品一样,投资中也可以多寻找那些“物美价廉”的指数产品。
好消息是,政策层面也在为投资者“减负”保驾护航。《推动公募基金高质量发展行动方案》明确提出,稳步降低基金投资者成本,引导行业机构适时下调大规模指数基金的管理费率与托管费率。
作为行业头部机构,易方达基金长期引领ETF降费潮流。2015年,沪深300ETF易方达(510310)的管理费率从0.5%/年降至0.2%/年,成为当时全市场管理费率最低的股票ETF;2019年,该ETF管理费率进一步降低至0.15%/年,成为全市场首只管理费率为0.15%/年的沪深300产品。此后,易方达基金持续让利投资者,陆续下调了创业板ETF易方达(159915)、科创50ETF易方达(588080)等多只产品费率。
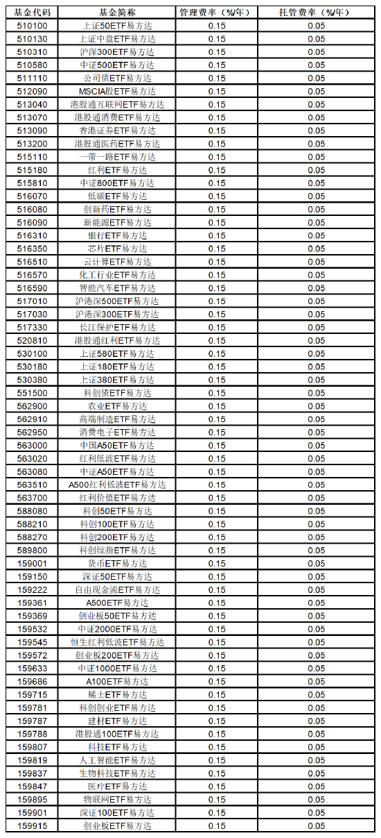
据Wind数据统计,截至2025年12月31日,全市场管理费率与托管费率合计为0.2%/年的ETF数量已超过370只。其中,易方达基金旗下就有62只,包括A500ETF易方达(159361)、人工智能ETF易方达(159819)、红利ETF易方达(515180)等跟踪宽基、行业主题、风格因子等不同类型指数的产品,低费率ETF数量稳居行业首位。
控制投资成本就像日常生活中精打细算一样,是一种值得培养的习惯。每次投资前,不妨多看看有没有更低成本的选择。毕竟在投资这场马拉松里,能帮你省钱的“运动装备”,和选对赛道同样重要。
易方达基金旗下低费率ETF一览
MACD金叉信号形成,这些股涨势不错!

